Produits
description du produit
Le dextrane est utilisé sous forme de billes pour faciliter les applications en bioréacteurs, certaines matrices de chromatographie d'exclusion stérique et l'étude de la technique de stress osmotique impliquant des molécules biologiques. Il peut être utilisé comme revêtement stabilisant pour protéger les nanoparticules métalliques contre l'oxydation.
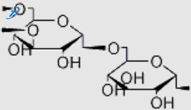
Les dextranes sont des polysaccharides de glucose à longue chaîne de diverses masses moléculaires relatives. Le dextrane 70 (masse moléculaire relative 70 000) est retenu dans l'espace intravasculaire où, comme l'albumine, il contribue à la pression oncotique colloïdale du plasma. Contrairement à l'albumine, le dextrane 70, lorsqu'il est administré en grandes quantités, empêche l'agrégation plaquettaire et facilite la fibrinolyse.
.Informations de sécurité
Utilisation du produit
Le dextrane est un polysaccharide naturel produit par fermentation microbienne et largement utilisé dans les produits pharmaceutiques, l'alimentation et les cosmétiques. Dans l'industrie pharmaceutique, il est couramment utilisé comme expansant du volume plasmatique et comme vecteur de médicaments, contribuant à améliorer la microcirculation et à renforcer la stabilité des médicaments. Dans l'industrie alimentaire, le dextrane agit comme épaississant, stabilisant et agent de rétention d'humidité, améliorant la texture et la sensation en bouche. Dans les cosmétiques, il offre d'excellentes propriétés hydratantes et filmogènes, aidant à renforcer la barrière cutanée et à améliorer l'hydratation. Il est largement utilisé dans des formulations telles que les lotions, les crèmes et les sérums.
Présentation de l'usine
Laboratoire de contrôle qualité
Expédition et transport
Délai de livraison
Stock 2-3 jours ouvrables Nouvelle fabrication 7-10 jours ouvrables
Mode de transport
1. Par avion, rapide mais cher.
2. Par mer, habituel et économique.
3. Par train, adapté aux pays d'Asie centrale.
4. Par express, adapté aux petits colis.
Nous ne fournissons que des produits de la plus haute qualité, accompagnés d'un support après-vente!
FAQ
Q:Qu'en est-il de votre prix?
A:Notre prix est très compétitif car nous sommes une usine. N'hésitez pas à nous contacter si vous êtes intéressé par nos produits.
Q:Puis-je visiter votre usine?
A:Bien sûr, nous accueillons les clients du monde entier pour visiter notre usine.
Q:Quel est le délai de livraison?
A:Sous 3-15 jours après confirmation de votre demande.
Q:Quelles sont vos conditions de paiement?
A:T/T, Cash, Western Union sont tous acceptés. Si vous avez d'autres modes de paiement, veuillez me contacter.
Q: Fournissez-vous des échantillons?
A:Oui, nous pouvons fournir l'échantillon pour vos tests mais veuillez payer les frais de transport.
Envoyez-nous un message
Contactez-nous
Recommandation


